Hashing tests: all results

Memory requirements:

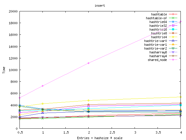
Time: insert random entries

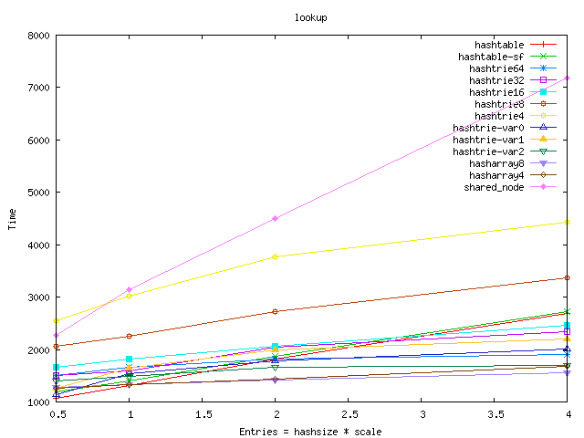
Time: lookup random entries

Time: insert DoS entries

Time: lookup DoS entries